Bilangan Berpangkat dan Bentuk Akar (Materi & Soal)
Assalamu'alaikum Wr. Wb. Selamat datang di blog Artikel & Materi . Senang sekali rasanya kali ini dapat kami bagikan materi Matematika kelas 9 Semester 2 Bab Bilangan Berpangkat dan Bentuk Akar beserta contoh soalnya.
Bilangan Berpangkat dan Bentuk Akar
Bilangan Berpangkat Positif, Negatif, dan Nol
Pengertian Perpangkatan
Perpangkatan merupakan perkalian berulang sebuah bilangan dengan bilangan itu sendiri.
Contoh:
2^2 (dibaca: dua pangkat dua) yang sama artinya dengan 2 x 2
4^3 (dibaca: empat pangkat tiga) yang sama artinya dengan 4 x 4 x 4
7^5 (dibaca: tujuh pangkat lima) yang sama artinya dengan 7 x 7 x 7 x 7 x 7
Ket. : ^ = pangkat
Bilangan Berpangkat Positif
Bilangan berpangkat positif merupakan bilangan yang mempunyai pangkat/ eksponen positif.
Contoh:
3^2 = 3 x 3 = 9
4^3 = 4 x 4 x 4 = 64
(-2)^2 = (-2) x (-2) = 4
(-5)^3 = (-5) x (-5) x (-5) = -125
3^2 = 3 x 3 = 9
4^3 = 4 x 4 x 4 = 64
(-2)^2 = (-2) x (-2) = 4
(-5)^3 = (-5) x (-5) x (-5) = -125
Bilangan kuadrat sempurna seperti 1, 4, 9, dan 16 dapat dinyatakan dalam bentuk geometri seperti di bawah ini:
Bilangan kuadrat sempurna adalah bilangan yang merupakan hasil kali dari suatu bilangan dengan dirinya sendiri.
Sebagai contoh di atas 16 adalah bilangan kuadrat sempurna karena 16 = 4
x 4
4. Notasi 4 x 4 dapat dituliskan dalam bentuk pangkat. Bentuk pangkat ini menjelaskan pada kita berapa suatu bilangan yang kita sebut sebagai
basis atau bilangan pokok digunakan sebagai faktor.
Bilangan yang digunakan sebagai pangkat disebut eksponen atau pangkat.
Pernyataan 4 x 4 dituliskan sebagai 4^2. Pada notasi, 4 menyatakan bilangan pokok atau basis, dan 2 menyatakan pangkat atau eksponen.
Pernyataan 4 x 4 dituliskan sebagai 4^2. Pada notasi, 4 menyatakan bilangan pokok atau basis, dan 2 menyatakan pangkat atau eksponen.
Contoh:
Tuliskan pernyataan berikut dalam bentuk eksponen
a. 2 x 2 x 2 x 2 x 2
Bilangan pokoknya adalah 2 dan faktornya adalah 5.
2 x 2 x 2 x 2 x 2 = 2^5.
Tuliskan pernyataan berikut dalam bentuk eksponen
a. 2 x 2 x 2 x 2 x 2
Bilangan pokoknya adalah 2 dan faktornya adalah 5.
2 x 2 x 2 x 2 x 2 = 2^5.
b. m x m x m x m
Bilangan pokoknya adalah m dan
faktornya adalah 4.
m x m x m x m = m^4.
Bilangan pokoknya adalah m dan
faktornya adalah 4.
m x m x m x m = m^4.
c. 7
Bilangan pokoknya adalah 7 dan
faktornya adalah 1
7 = 7^1.
Bilangan pokoknya adalah 7 dan
faktornya adalah 1
7 = 7^1.
d. Tuliskan (2)(2)(2)( – 5)( – 5) dalam bentuk eksponen.
Dengan menggunakan sifat asosiatif kita kelompokkan faktor dengan bilangan pokok yang sama sebagai berikut:
(2)(2)(2)(-5)(-5) = [(2)(2)(2)][(-5)(-5)] = 2^3(-5)^2
Dengan menggunakan sifat asosiatif kita kelompokkan faktor dengan bilangan pokok yang sama sebagai berikut:
(2)(2)(2)(-5)(-5) = [(2)(2)(2)][(-5)(-5)] = 2^3(-5)^2
Jarak antara bumi dan matahari adalah sekitar10^8 kilometer.
Tuliskan bilangan ini sebagai pernyataan perkalian dan hitunglah hasilnya.
10^8 = 10.10.10.10.10.10.10.10 = 100.000.000
Jarak antara bumi dan matahari adalah sekitar 100 juta kilometer.
Tuliskan bilangan ini sebagai pernyataan perkalian dan hitunglah hasilnya.
10^8 = 10.10.10.10.10.10.10.10 = 100.000.000
Jarak antara bumi dan matahari adalah sekitar 100 juta kilometer.
Bilangan Berpangkat Negatif dan Nol
Bilangan bulat berpangkat negative
Tidak semua pangkat bernilai positif. Beberapa pangkat adalah bulat negatif.
Perhatikan pola bilangan berikut untuk menemukan nilai 10^-1 dan 10^-2. Dengan memperluas pola yang ada, maka hasil yang dapat diperoleh adalah 10^-1 = 1/10 dan 10^-2 = 1/10^2 1/100
Perhatikan pola bilangan berikut untuk menemukan nilai 10^-1 dan 10^-2. Dengan memperluas pola yang ada, maka hasil yang dapat diperoleh adalah 10^-1 = 1/10 dan 10^-2 = 1/10^2 1/100
Pada pola tersebut, apabila kamu kalikan bilangan pokok, pangkatnya naik
satu. Sebagai contoh 10^3 x 10 = 10^4. Sedangkan apabila kamu bagi dengan
bilangan pokok, pangkatnya turun satu. Sebagai contoh, 10^-2 : 10 = 10^-3
Untuk setiap a є R dan a ≠ 0 berlaku
Untuk setiap a є R dan a ≠ 0 berlaku
Bilangan a^(-n) disebut bilangan berpangkat tak sebenarnya.
Contoh:
Contoh:
(-6)-3 = (-1/6)^3 = (-1/6) x (-1/6) x (-1/6) = -1/216
Tuliskan 10^-3 menggunakan pangkat positif. Kemudian tentukan nilainya.
10^-3 = 1/〖10〗^3 = 1/1000 = 0,001
Tuliskan 10^-3 menggunakan pangkat positif. Kemudian tentukan nilainya.
10^-3 = 1/〖10〗^3 = 1/1000 = 0,001
Sederhanakan pernyataan
xy-2 = x . y-2 = x. 1/( y^2 ) = x/y^2
Bakteri E.coli memiliki lebar 10-3 milimeter. Jarum pentul memiliki diameter 1 milimeter. Berapa banyak bakteri E.coli yang dapat mengisi diameter jarum tersebut.
xy-2 = x . y-2 = x. 1/( y^2 ) = x/y^2
Bakteri E.coli memiliki lebar 10-3 milimeter. Jarum pentul memiliki diameter 1 milimeter. Berapa banyak bakteri E.coli yang dapat mengisi diameter jarum tersebut.
Untuk menentukan banyak bakteri, bagilah 1 dengan 10^-3 = 1/〖10^(-3) = 10^3 = 1000
Jadi banyak bakteri yang dapat mengisi diameter jarum pentul adalah 1000 bakteri.
Jadi banyak bakteri yang dapat mengisi diameter jarum pentul adalah 1000 bakteri.
Bilangan bulat berpangkat nol
Untuk setiap a є R dan a ≠ 0, maka
Untuk setiap a є R dan a ≠ 0, maka
Bilangan a^0 = disebut bilangan berpangkat tak sebenarnya.
Contoh:
3^0 = 1
(-10)^0 = 1
(-21)^-3 + (-21)^3 = (-21)^0 = 1
3^0 = 1
(-10)^0 = 1
(-21)^-3 + (-21)^3 = (-21)^0 = 1
Bilangan Pecahan Berpangkat
Bentuk pangkat dapat ditulis sabagai berikut:
Bentuk pangkat dapat ditulis sabagai berikut:
(a/b)^n= a/b x a/b x…x a/b= a^n/b^n
Sebanyak n buah, dengan a ≠ 0, b ≠ 0, dan n > 0
(a/b)^(-n)= b/a x b/a x…x b/a= b^n/a^n
(a/b)^(-n)= b/a x b/a x…x b/a= b^n/a^n
Sebanyak n buah, dengan a ≠ 0, b ≠ 0, dan n n, a ≠ 0
a^m/a^n = 1/a^(n-m) , , dengan m < 0, a ≠ 0
(a x b)m = am x bm
(a/b)^m = a^m/b^m , dengan b ≠ 0
a^m/a^n = 1/a^(n-m) , , dengan m < 0, a ≠ 0
(a x b)m = am x bm
(a/b)^m = a^m/b^m , dengan b ≠ 0
Contoh:
p 2 . p -6 = p 2-6 = p -4 = 1/p^4
(p -3 . q 5)4 = (p -3)4 . (q 5)4 = p -12 . q 20 = q^20/p^12
p^10/p^6 = p10-6 = p4
(p^(-1)/q^3 )^(-5) = (p^(-1) )^(-5)/(q^3 )^(-5) = p^5/q^(-15) = p5q15
(-6p)0 = 1
p 2 . p -6 = p 2-6 = p -4 = 1/p^4
(p -3 . q 5)4 = (p -3)4 . (q 5)4 = p -12 . q 20 = q^20/p^12
p^10/p^6 = p10-6 = p4
(p^(-1)/q^3 )^(-5) = (p^(-1) )^(-5)/(q^3 )^(-5) = p^5/q^(-15) = p5q15
(-6p)0 = 1
Bentuk Akar
Rindy mempunyai sehelai saputangan yang berbentuk persegi dengan luas
900 cm persegi. Supaya indah, Rindy akan menambahkan renda di tepi
saputangan. Berapa panjang renda yang diperlukan Rindy?
Untuk membantu Rindy, kita harus tahu panjang sisi persegi agar kita dapat menghitung keliling saputangan tersebut.
Untuk membantu Rindy, kita harus tahu panjang sisi persegi agar kita dapat menghitung keliling saputangan tersebut.
Misal panjang sisi saputangan adalah n cm maka Rindy harus menentukan n ×
n = 900. Dalam hal ini n = 30 karena 30 × 30 = 900 atau 302 = 900.
Menentukan n = 30 berarti melakukan penarikan akar dari 900 dan ditulis sebagai √900 = 30.
Dengan demikian Rindy harus menyediakan renda dengan panjang 4 x 30 cm = 120 cm.
Bentuk √900 dibaca “ akar kuadrat dari 900 “.
Menentukan n = 30 berarti melakukan penarikan akar dari 900 dan ditulis sebagai √900 = 30.
Dengan demikian Rindy harus menyediakan renda dengan panjang 4 x 30 cm = 120 cm.
Bentuk √900 dibaca “ akar kuadrat dari 900 “.
Simbol √ disebut tanda akar, digunakan untuk menyimbolkan akar pangkat dua.
Contoh:
√(36 ) = 6
– √36 = -6
Contoh:
√(36 ) = 6
– √36 = -6
Bilangan di dalam tanda akar tidak boleh negatif.
Pada persoalan mencari rusuk suatu kubus bila volume diketahui, maka
kita akan berhadapan dengan bentuk akar yang lain, yaitu akar pangkat
tiga. Misalkan diketahui volume suatu kubus adalah 64 cm3, berapakah
panjang rusuk kubus tersebut?
Misal panjang rusuk tersebut adalah p, maka volume kubus adalah
V = p x p x p
= p3
Dengan demikian diperoleh p3 = 64. Bagaimanakah kita memperoleh p? Ingat bahwa 43 = 64 dengan demikian p = 4.
Secara umum dapat kita tuliskan:
Contoh:
Sederhanakanlah bentuk berikut
√49
Karena 72 = 49, maka √49 = 7
-√64
Karena 82 = 64, maka -√64 = -8
Sederhanakanlah bentuk berikut
√49
Karena 72 = 49, maka √49 = 7
-√64
Karena 82 = 64, maka -√64 = -8
Bilangan Bulat dengan Eksponen Bilangan Bulat Positif
Masih ingat bentuk berikut :
32 = 3 x 3
23 = 2 x 2 x 2
56 = 5 x 5 x 5 x 5 x 5 x 5
Masih ingat bentuk berikut :
32 = 3 x 3
23 = 2 x 2 x 2
56 = 5 x 5 x 5 x 5 x 5 x 5
Demikian seterusnya sehingga diperoleh bentuk umum sebagai berikut.
Dengan a bilangan bulat dan n bilangan bulat positif. Dari pengertian di atas akan diperoleh sifat-sifat berikut.
Sifat 1 an x an = am + n
24 x 23 = (2 x 2 x 2 x 2 )x(2 x 2 x 2 )
= 2 x 2 x 2 x 2 x 2 x 2 x 2
= 27
= 24+3
Sifat 2 am : an = am - n, m > n
55 : 53 = (5 x 5 x 5 x 5 x 5) : (5 x 5 x 5)
= 5 x 5
= 52
= 55 - 3
Sifat 3 (am)n = am x n
(34)2 = 34 x 34
= (3 x 3 x 3 x 3) x (3 x 3 x 3 x 3)
= (3 x 3 x 3 x 3 x 3 x 3 x 3 x 3)
= 38
= 34 x 2
Sifat 4 (a x b)m = am x bm
(4 x 2)3 = (4 x 2) x (4 x 2) x (4 x 2)
= (4 x 4 x 4) x (2 x 2 x 2)
= 43 x 23
Sifat 5 (a : b)m = am : bm
(6 : 3) 4 = (6 : 3) x (6 : 3) x (6 : 3) x (6 : 3)
= (6 x 6 x 6 x 6) : (3 x 3 x 3 x 3)
= 64 : 34
Dengan a bilangan bulat dan n bilangan bulat positif. Dari pengertian di atas akan diperoleh sifat-sifat berikut.
Sifat 1 an x an = am + n
24 x 23 = (2 x 2 x 2 x 2 )x(2 x 2 x 2 )
= 2 x 2 x 2 x 2 x 2 x 2 x 2
= 27
= 24+3
Sifat 2 am : an = am - n, m > n
55 : 53 = (5 x 5 x 5 x 5 x 5) : (5 x 5 x 5)
= 5 x 5
= 52
= 55 - 3
Sifat 3 (am)n = am x n
(34)2 = 34 x 34
= (3 x 3 x 3 x 3) x (3 x 3 x 3 x 3)
= (3 x 3 x 3 x 3 x 3 x 3 x 3 x 3)
= 38
= 34 x 2
Sifat 4 (a x b)m = am x bm
(4 x 2)3 = (4 x 2) x (4 x 2) x (4 x 2)
= (4 x 4 x 4) x (2 x 2 x 2)
= 43 x 23
Sifat 5 (a : b)m = am : bm
(6 : 3) 4 = (6 : 3) x (6 : 3) x (6 : 3) x (6 : 3)
= (6 x 6 x 6 x 6) : (3 x 3 x 3 x 3)
= 64 : 34
Bilangan Bulat dengan Eksponen Bilangan Bulat Negatif
Dari pola bilangan itu dapat disimpulkan bahwa 20 = 1 dan 2-n = 1/2n
Pecahan Berpangkat Bilangan Bulat
Kita
telah mengetahui bahwa pecahan adalah bilangan dalam bentuk dengun a
dan b bilangan bulat (b ≠ 0). Bagaimanakah jika pecahan dipangkatkan
dengan bilangan bulat? Untuk menentukan hasil pecahan yang dipangkatkan
dengan bilangan bulat, caranya sama dengan menentukan hasil bilangan
bulat yang dipangkatkan dengan bilangan bulat.
Bentuk Akar dan Bilangan Berpangkat Pecahan
Bilangan Rasional dan Irasional
Bilangan rasional adalah bilangan yang dapat dinyatakan dalam bentuk a/b dengan a, b bilangan bulat dan b ≠ 0. Bilangan rasional merupakan gabungan dari bilangan bulat, nol, dan pecahan. Contoh bilangan rasional adalah -5, -1/2, 0, 3, 3/4, dan 5/9.
Sebaliknya, bilangan irasional adalah bilangan yang tidak dapat dinyatakan dalam bentuka/b dengan a, b bilangan bulat dan b ≠ 0. Contoh bilangan irasional adalah . Bilangan-bilangan tersebut, jika dihitung dengan kalkulator merupakan desimal yang tak berhenti atau bukan desimal yang berulang. Misalnya
√2 = 1,414213562 .... Selanjutnya, gabungan anrara bilangan rasional dan irasional disebut bilangan real.
Bentuk Akar
Berdasarkan pembahasan sebelumnya, contoh bilangan irasional adalah √2 dan √5 . Bentuk seperti itu disebut bentuk akar. Dapatkah kalian menyebutkan contoh yang lain? Bentuk akar adalah akar dari suatu bilangan yang hasilnya bukan bilangan Rasional. Bentuk akar dapat disederhanakan menjadi perkalian dua buah akar pangkat bilangan dengan salah satu akar memenuhi definisi √a2 = a jika a ≥ 0, dan –a jika a < 0
Contoh :
Sederhanakan bentuk akar berikut √75
Jawab :
√75 = √25x3 = √25 x √3 = 5√3
Mengubah Bentuk Akar Menjadi Bilangan Berpangkat Pecahan dan Sebaliknya
Bentuk √a dengan a bilangan bulat tidak negatif disebut bentuk akar kuadrat dengan syarat tidak ada bilangan yang hasil kuadratnya sama dengan a. oleh karena itu √2,√3, √5, √10, √15 dan √19 merupakan bentuk akar kuadrat. Untuk selanjutnya, bentuk akar n√amdapat ditulis am/n (dibaca: a pangkat m per n). Bentuk am/n disebut bentuk pangkat pecahan.
Operasi Aljabar pada Bentuk Akar
Penjumlahan dan Pengurangan
Penjumlahan dan pengurangan pada bentuk akar dapat dilakukan jika memiliki suku-suku yang sejenis.
Kesimpulan : jika a, c = Rasional dan b ≥ 0, maka berlaku
a√b + c√b = (a + c)√b
a√b - c√b = (a - c)√b
Kesimpulan : jika a, c = Rasional dan b ≥ 0, maka berlaku
a√b + c√b = (a + c)√b
a√b - c√b = (a - c)√b
Perkalian dan Pembagian
Contoh :
Perpangkatan
Kalian tentu masih ingat bahwa (a^)" = a^'. Rumus tersebut juga berlaku pada operasi perpangkatan dari akar suatu bilangan.
Contoh :
Contoh :
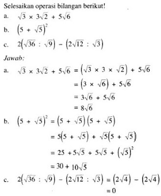
Operasi Campuran
Dengan
memanfaatkan sifat-sifat pada bilangan berpangkat, kalian akan lebih
mudah menyelesaikan soal-soal operasi campuran pada bentuk akarnya.
Sebelum melakukan operasi campuran, pahami urutan operasi hitung
berikut.
- Prioritas yang didahulukan pada operasi bilangan adalah bilangan-bilangan yang ada dalam tanda kurung.
- Jika tidak ada tanda kurungnya maka
- pangkat dan akar sama kuat;
- kali dan bagi sama kuat;
- tambah dan kurang sama kuat, artinya mana yang lebih awal dikerjakan terlebih dahulu;
- kali dan bagi lebih kuat daripada tambah dan kurang, artinya kali dan bagi dikerjakan terlebih dahulu.
Merasionalkan Penyebut
Dalam perhitungan matematika, sering kita temukan pecahan dengan penyebut bentuk akar, misalnya
Agar nilai pecahan tersebut lebih sederhana maka penyebutnya harus dirasionalkan terlebih dahulu. Artinya tidak ada bentuk akar pada penyebut suatu pecahan. Penyebut dari pecahan-pecahan yang akan dirasionalkan berturut-turut adalah
Merasionalkan penyebut adalah mengubah pecahan dengan penyebut bilangan irasional menjadi pecahan dengan penyebut bilangan rasional.
Agar nilai pecahan tersebut lebih sederhana maka penyebutnya harus dirasionalkan terlebih dahulu. Artinya tidak ada bentuk akar pada penyebut suatu pecahan. Penyebut dari pecahan-pecahan yang akan dirasionalkan berturut-turut adalah
Merasionalkan penyebut adalah mengubah pecahan dengan penyebut bilangan irasional menjadi pecahan dengan penyebut bilangan rasional.
Penyebut Berbentuk √b
Jika a dan b adalah bilangan rasional, serta √b adalah bentuk akar maka pecahan a/√bdapat dirasionalkan penyebutnya dengan cara mengalikan pecahan tersebut dengan √b/√b .
Penyebut Berbentuk (a+√b) atau (a+√b)
Jika pecahan-pecahan mempunyai penyebut berbentuk (a+√b) atau (a+√b) maka pecahan tersebut dapat dirasionalkan dengan cara mengalikan pembilang dan penyebutnya dengan sekawannya. Sekawan dari (a+√b) adalah (a+√b) adalah dan sebaliknya. Bukti :
Penyebut Berbentuk (√b+√d) atau (√b+√d)
Posting Komentar untuk "Bilangan Berpangkat dan Bentuk Akar (Materi & Soal)"